算法
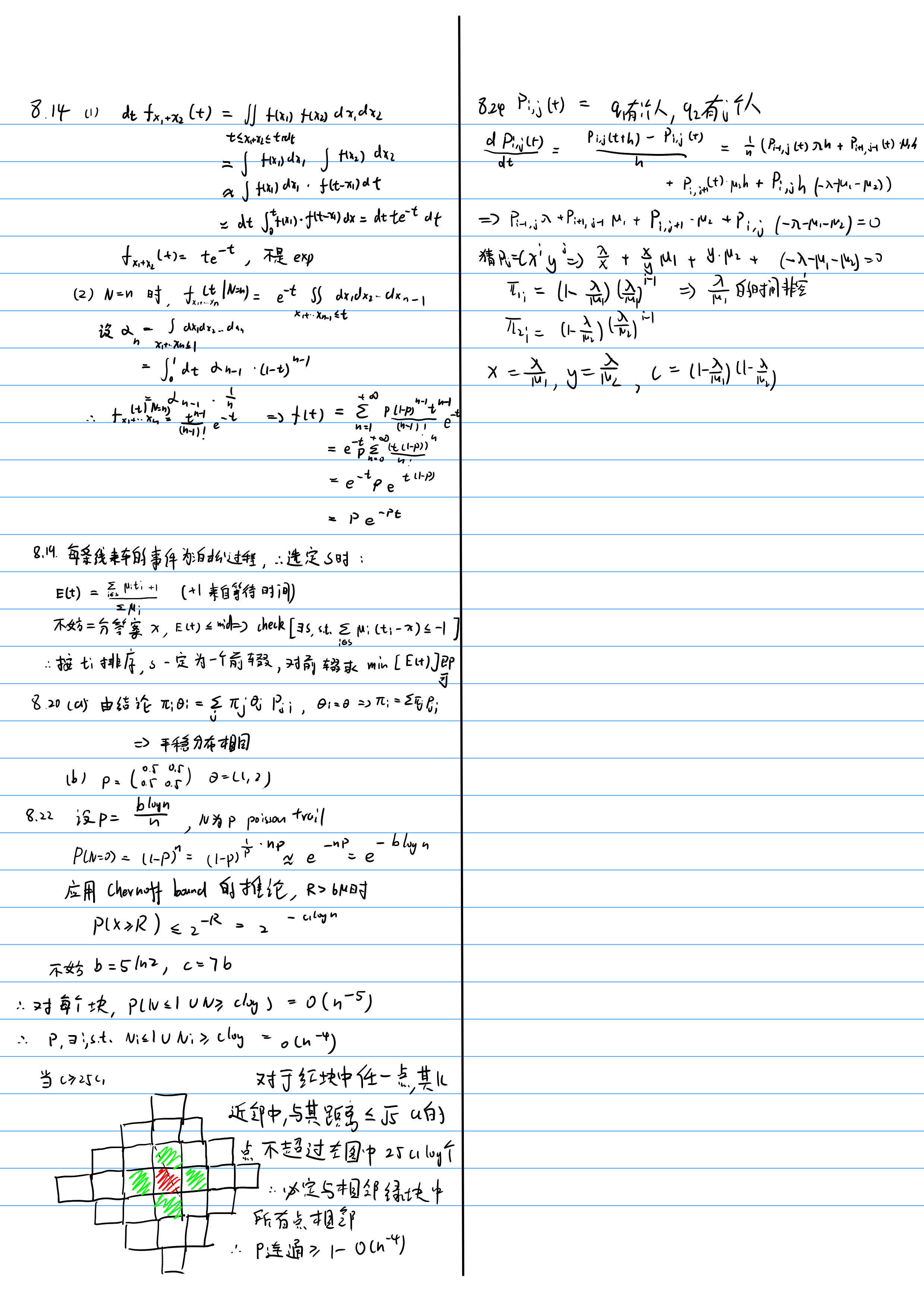
Probability and Computing 第八章部分习题