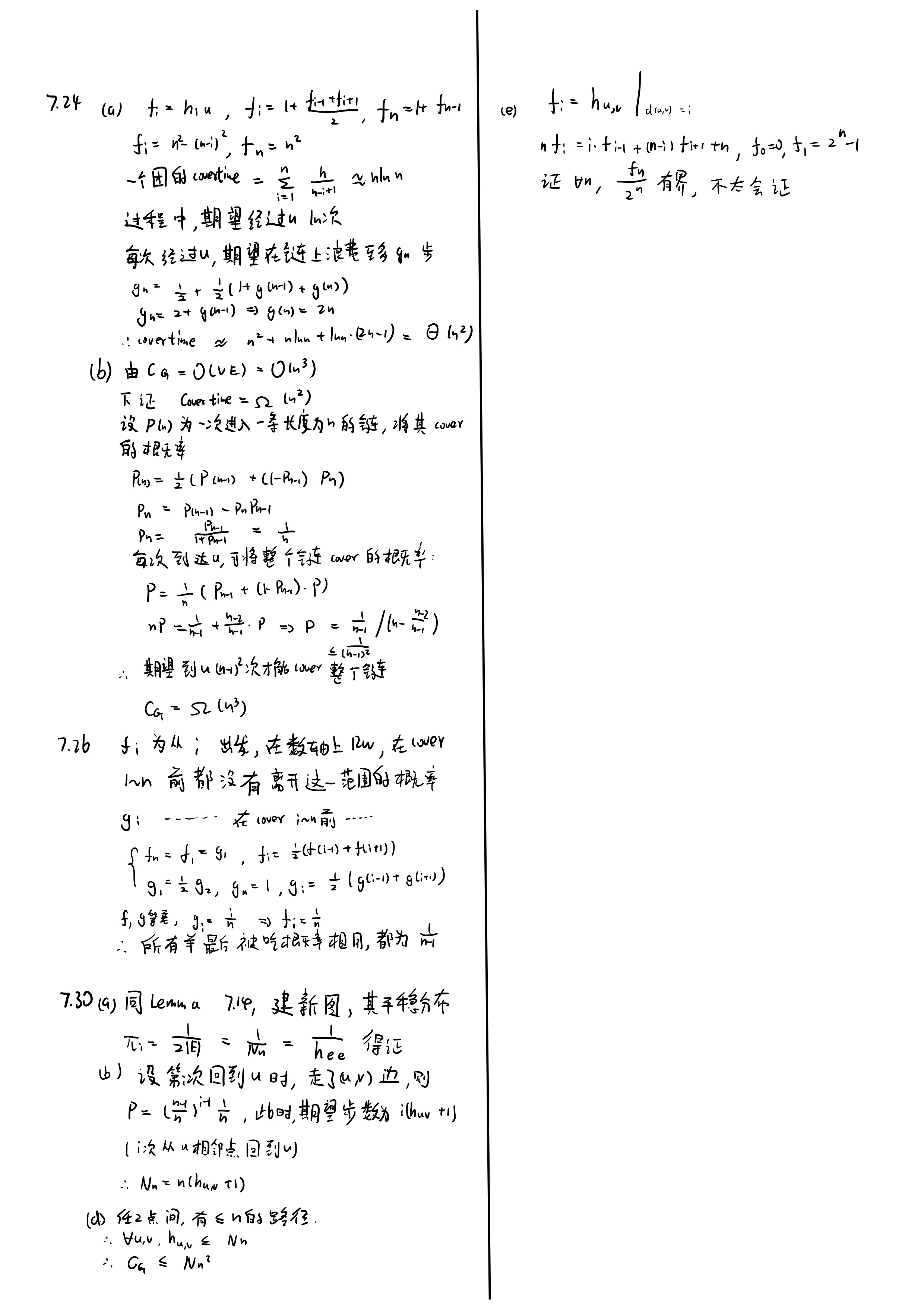
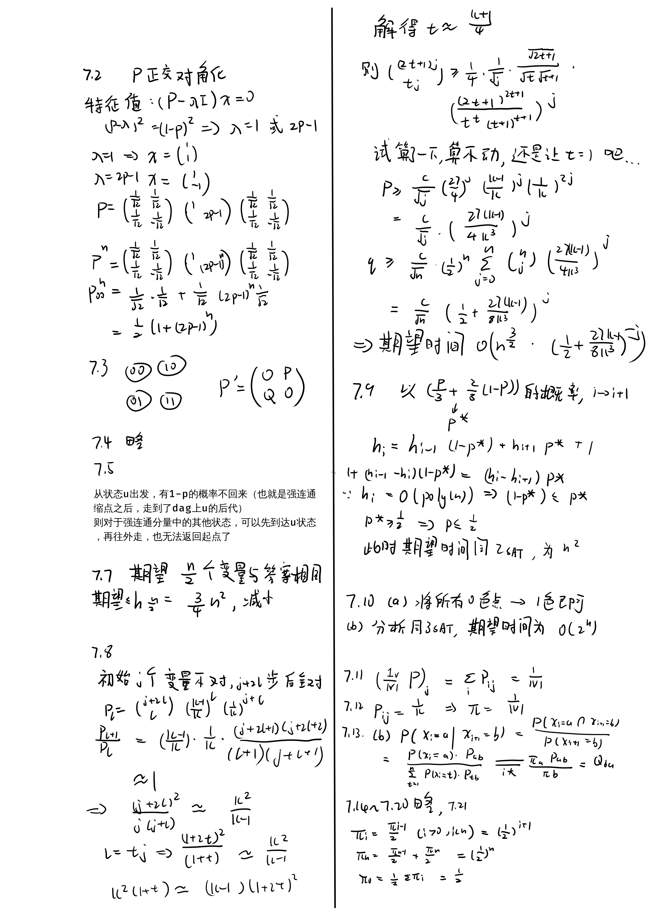
Probability and Computing 第七章部分习题

算不动了

写了部分习题,

p1 p2

upd. 最后一题的放缩问了个同学,现在会了,大致是把递推式放缩成 $i(f_i-f_{i-1})\le (n-i)(f_{i+1}-f_i)$,后面懒得写了。